兩部委提前下達現代職業教育質量提升計劃資金助推1+x落地
2020-12-02 09:44:11
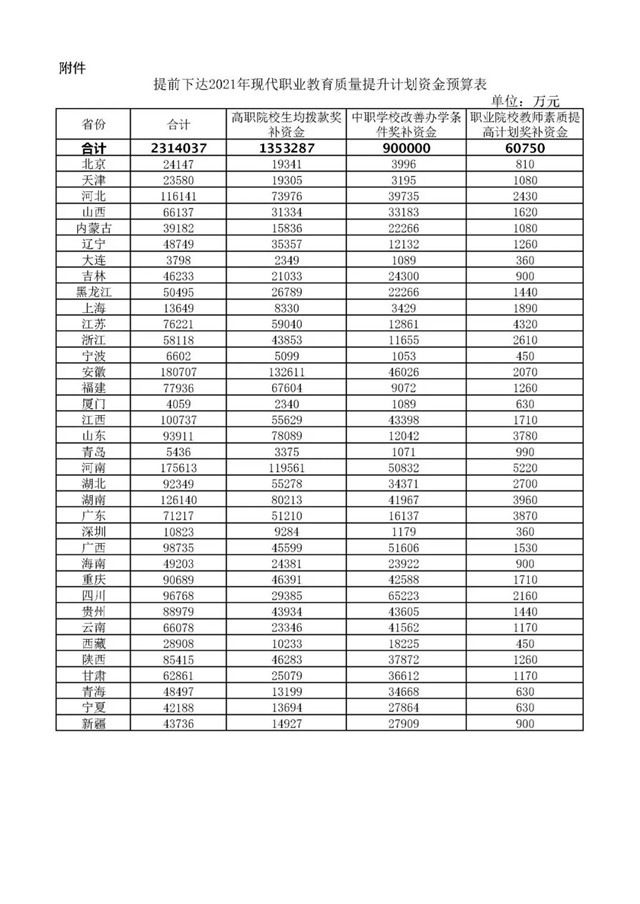
近日,財政部、教育部發布《關于提前下達2021年現代職業教育質量提升計劃資金預算的通知》(以下簡稱《通知》)??傆嬵A算高達2314037萬元,其中,高職院校生均撥款獎補資金1353287萬元,中職學校改善辦學條件獎補資金900000萬元,職業院校教師素質提高計劃獎補資金60750萬元。

此次財政部、教育部采取中央財政資金大量投放的舉措,有效助推現代職業教育質量提升計劃,給予職業院校教師及學生獎金補助,充分激發職業院校教師教學、學生學習的信心和積極性,能夠為現代職業教育質量的提升保駕護航,并為深化三教改革、產教融合提供強大保障。

《通知》要求,深化產教融合、校企合作,支持開展1+X證書制度試點、支持實施中國特色高水平高職學校和專業建設計劃等。在分配相關資金時,要結合實際向困難地區和薄弱環節傾斜,向辦學質量高、辦學特色鮮明的職業院校傾斜。做好與發展改革部門安排基本建設項目等資金的統籌,防止資金、項目安排重復交叉。
此《通知》的出臺,不僅有助于促進職業教育的蓬勃發展,更是有助于1+X證書制度的落地實施。職業院校能夠通過加強標準體系建設,著力打造雙師型教師隊伍建設,推進職業教育產教融合校企協同育人。通過與行業產業、職業能力標準、工作崗位的對接,實現學校和企業的專業共建、標準共融、教學共育、基地共享、師資共培。

而金職偉業作為國家教育部“1+X幼兒照護”職業培訓評價組織,自2020年7月正式啟動幼兒照護1+X證書制度試點以來,金職偉業已完成全國近5000人次的師資、考評技術員、督考員培訓,以及超過500家考評站點的遴選工作。已吸引來自全國各地700余所職業院校、應用型本科高校老師赴長參訓,培訓人數高達4000余人。金職偉業始終致力于職業技能教材的開發建設,至今已編寫三套教育部1+x證書《幼兒照護職業技能教材》(基礎知識、初級、中級),入選國家十三五職業教育規劃教材,配套在線視頻課程上線一個月訪問量即達百萬,且成功研發1+x幼兒照護證書情景交互教學軟件。自2020年11月,金職偉業啟動各省成立1+x幼兒照護證書聯盟,創新幼兒照護人才培育新方案,評價組織、院校、企業、行業四方聯動,以確保培育出高質量的1+x幼兒照護技能人才。
在未來,金職偉業將把握此次機遇,迎接挑戰,通過X證書,匯聚1000所試點學校、10,000家校企合作企業、100家行業協會、1,000,000名學生進入平臺,并且在每省遴選龍頭企業成立考試服務中心、做好考評服務和學生的就業創業服務工作,打造考試、培訓、就業、創業的廣闊舞臺。并不斷為實現學生好學、老師好教、企業好用的幼兒照護證等級證書的目標而努力,著力于建設有信心、有責任心、有匠心、有忠心、有耐心的‘五心’育嬰文化,不斷提升幼兒照護領域專業人才的培養質量,為社會源源不斷地輸送高素質的技能型人才,切實提高托育托幼行業服務質量水平,共創幼兒照護事業的美好未來。

此次財政部、教育部采取中央財政資金大量投放的舉措,有效助推現代職業教育質量提升計劃,給予職業院校教師及學生獎金補助,充分激發職業院校教師教學、學生學習的信心和積極性,能夠為現代職業教育質量的提升保駕護航,并為深化三教改革、產教融合提供強大保障。

《通知》要求,深化產教融合、校企合作,支持開展1+X證書制度試點、支持實施中國特色高水平高職學校和專業建設計劃等。在分配相關資金時,要結合實際向困難地區和薄弱環節傾斜,向辦學質量高、辦學特色鮮明的職業院校傾斜。做好與發展改革部門安排基本建設項目等資金的統籌,防止資金、項目安排重復交叉。
此《通知》的出臺,不僅有助于促進職業教育的蓬勃發展,更是有助于1+X證書制度的落地實施。職業院校能夠通過加強標準體系建設,著力打造雙師型教師隊伍建設,推進職業教育產教融合校企協同育人。通過與行業產業、職業能力標準、工作崗位的對接,實現學校和企業的專業共建、標準共融、教學共育、基地共享、師資共培。

而金職偉業作為國家教育部“1+X幼兒照護”職業培訓評價組織,自2020年7月正式啟動幼兒照護1+X證書制度試點以來,金職偉業已完成全國近5000人次的師資、考評技術員、督考員培訓,以及超過500家考評站點的遴選工作。已吸引來自全國各地700余所職業院校、應用型本科高校老師赴長參訓,培訓人數高達4000余人。金職偉業始終致力于職業技能教材的開發建設,至今已編寫三套教育部1+x證書《幼兒照護職業技能教材》(基礎知識、初級、中級),入選國家十三五職業教育規劃教材,配套在線視頻課程上線一個月訪問量即達百萬,且成功研發1+x幼兒照護證書情景交互教學軟件。自2020年11月,金職偉業啟動各省成立1+x幼兒照護證書聯盟,創新幼兒照護人才培育新方案,評價組織、院校、企業、行業四方聯動,以確保培育出高質量的1+x幼兒照護技能人才。
在未來,金職偉業將把握此次機遇,迎接挑戰,通過X證書,匯聚1000所試點學校、10,000家校企合作企業、100家行業協會、1,000,000名學生進入平臺,并且在每省遴選龍頭企業成立考試服務中心、做好考評服務和學生的就業創業服務工作,打造考試、培訓、就業、創業的廣闊舞臺。并不斷為實現學生好學、老師好教、企業好用的幼兒照護證等級證書的目標而努力,著力于建設有信心、有責任心、有匠心、有忠心、有耐心的‘五心’育嬰文化,不斷提升幼兒照護領域專業人才的培養質量,為社會源源不斷地輸送高素質的技能型人才,切實提高托育托幼行業服務質量水平,共創幼兒照護事業的美好未來。